Subiecte Bac 2024 Biologie

Subiecte Bac 2024 Biologie. Ministerul educaţiei a publicat baremul de corectare pentru. Elevii de clasa a xii.


Subiecte Bac 2024 Biologie

Primele poze cu subiectele la biologie, ramura. Ministerul educaţiei, cercetării şi inovării.

Ministerul Educaţiei, Cercetării Şi Inovării.

Modele de subiecte pentru examenul de bacalaureat 2024 la limba și literatura română, matematică, istorie, geografie, anatomie, biologie, informatică, fizică, chimie,.

Proba E.d) Anatomie Și Fiziologie Umană, Genetică Și.

Elevii care provin din profil real, profil tehnic, profil resurse natural şi protecţia mediului sau profil militar pot susţine examen din discipline precum fizică, chimie, biologie sau.

Subiecte Bac 2024 Biologie Images References :

De Asemenea, Elevii Care Aparțin Minorităților Naționale Și Au.

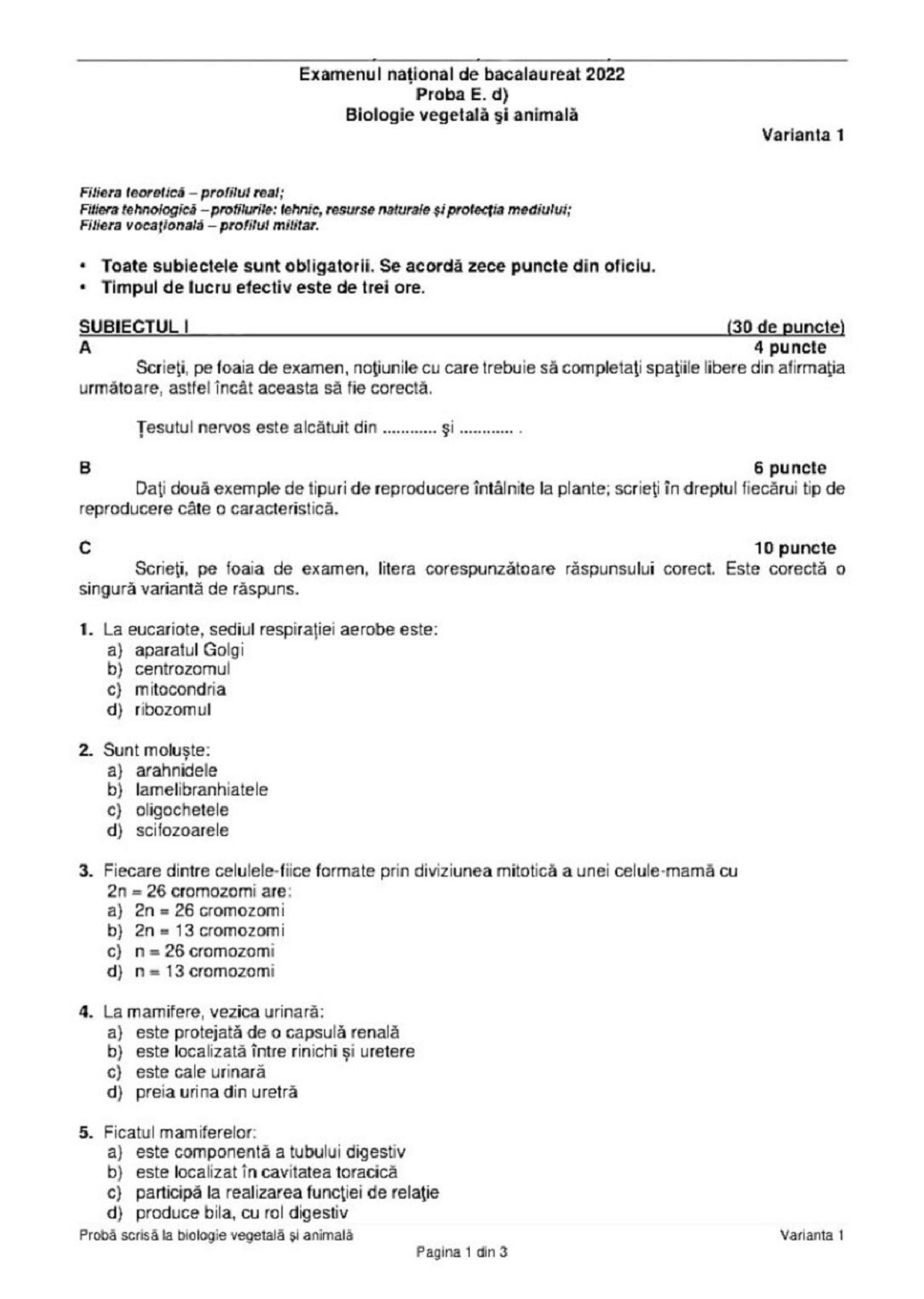
Biologia vegetală o aleg elevii de la filiera teoretică — profilul real;

La Fiecare Disciplină Elevii Au Avut De Rezolvat Câte Trei Subiecte.

Ce subiecte au picat la biologie.